• RAFT (reversible addition fragmentation chain transfer) polymerization is an excellent tool to create block copolymers. Over the years, we have generated hundreds of different polymer architectures using RAFT polymerization. Particularly attractive is the robustness of the process in the presence of many functional groups, but also the ability to adjust the length and nature of each block. Initially, the work was focused on the synthesis of block copolymers using the RAFT process. Understanding the underpinning mechanism of the RAFT process could determine the success of the block copolymer synthesis. Our main focus is to generate amphiphilic block copolymers, which can self-assemble into micelles, and also cylindrical micelles and vesicles. Crucial is also the design of new polymer structures for emerging applications. The combination of polymerization with click chemistry allows the design of architectues that have never been obtained before.  We also look into techniques to marry synthtic polymers with nature's building blocks such as cellulose, sugars and proteins.

     

    1. Gregory, A.; Stenzel, M. H., Complex polymer architectures via RAFT polymerization: From fundamental process to extending the scope using click chemistry and nature's building blocks. Progr. Polym. Sci. 2012, 37 (1), 38-105.
  • Collaborators: Dr Megan Lord, Prof David Morris, Dr Mohammad Pourgholami

    Self-assembled aggregates such as micelles, rod-like micelles and vesicles are as proposed as drug carriers due to their hydrophobic interior, while size and shape is easily influenceable by the underlying polymer.

    These years of experience in the synthesis of block copolymers by RAFT polymerization habe allowed us to tailor block copolymers to the application. The nature of the block copolymer was adjusted to solve a range of drug delivery problems. This includes traditional anti-cancer drugs, but also other, more challenging bioactive molecules such as DNA and heparin. The central questions are how can we design a suitable polymers to encapsulate the drug and how does the polymer affect the properties of the nanoparticle?

    Left: Control of the aggregate size and shape by changing the block length of the block copolymer; Right: Micelles penetrating into a spheroid cancer model

    On the quest for suitable drug delivery carriers for various drugs we developed a synthetic tool kit to achieve the best possible cellular uptake. We are interested in stabilizing the micelles by crosslinking, which often leads to a better cell uptake. In addition, by replacing the more tradition PEG shell of micelles by other polymers such as with a zwitterionic structure, we could create drug carriers that are not only non-toxic, but also show very high uptake efficiency. This would not have been possible without the use of the modern synthetic tools of RAFT polymerization and click chemistry and we are always on the look-out for new innovative developments in the area of polymer synthesis.

    Schematic presentation of endocytosis and exocytosis of uncrosslinked and crosslinked micelles
    References

    1. Stenzel, M. H., RAFT polymerization: an avenue to functional polymeric micelles for drug delivery. Chem. Commun. 2008,  (30), 3486-3503.

    2. Kim, Y.; Binauld, S.; Stenzel, M. H., Zwitterionic Guanidine-Based Oligomers Mimicking Cell-Penetrating Peptides as a Nontoxic Alternative to Cationic Polymers to Enhance the Cellular Uptake of Micelles. Biomacromolecules 2012, 13 (10), 3418-3426.

    3. Kim, Y.; Pourgholami, M. H.; Morris, D. L.; Stenzel, M. H., Effect of Cross-Linking on the Performance of Micelles As Drug Delivery Carriers: A Cell Uptake Study. Biomacromolecules 2012, 13 (3), 814-825.

    4. Kim, Y.; Pourgholami, M. H.; Morris, D. L.; Lu, H.; Stenzel, M. H., Effect of shell-crosslinking of micelles on endocytosis and exocytosis: acceleration of exocytosis by crosslinking. Biomaterials Science 2013, 1 (3), 265-27

  • Collaborator: Paul de Souza

    Metal-based anticancer drugs, in particular platinum-drugs, have been investigated for the treatment of cancer for the last 40 years. A small set of platinum-based drugs have meanwhile received FDA approval for the treatment of various cancers. Cisplatin and its relatives are currently some of the most widely used anticancer drugs. Their use is however associated with significant side effects and rising drug resistance. To combat these problems, drug delivery carriers have been developed to increase the protection of the drug and increase efficacy. Metal-based drugs represent a rather unique drug delivery challenge. Most anti-cancer drugs are either physically encapsulated into a polymer matrix or are conjugated to the polymer via a degradable linker. While both pathways are possible for metal-based drugs, conjugation to the polymer is done via labile or permanent ligands. In addition, the prodrug strategy using the drug in its higher oxidation state is a common approach that has been widely tested for platinum drugs. The delivery of platinum drugs is now a mature field and the various conjugation techniques have been combined with a range of drug carriers including dendrimers, micelles and solid polymer nanoparticles. Hybrids of macromolecular metal complexes with inorganic nanoparticles have been tested in recent years to combine drug deliver with the potential for imaging. An emerging trend is the surface decoration of the polymeric nanoparticles with targeting ligands such as folates. The advanced state of this field is evident by the fact that some macromolecular platinum drugs even advanced into the clinic. While the delivery of platinum drugs has been well explored, the delivery of other metal-based drugs based on gold, ruthenium or cobalt is still in its infancy.

    In our lab, we are interested in designing drug carriers tailored for various metal-based cancer drugs. Much activity is focused on developing suitable carriers for cisplatin and other platinum drugs. However, we have extended our portfolio to drugs based on ruthenium and gold, as less toxic alternatives to cisplatin.

    Crosslinked micelles for the delivery of cisplatin
    A drug carrier for the ruthenium drug RAPTA-C
    References

    1. Huynh, V. T.; Quek, J. Y.; de Souza, P. L.; Stenzel, M. H., Block Copolymer Micelles with Pendant Bifunctional Chelator for Platinum Drugs: Effect of Spacer Length on the Viability of Tumor Cells. Biomacromolecules 2012, 13 (4), 1010-1023.

    2. Huynh, V. T.; Binauld, S.; de Souza, P. L.; Stenzel, M. H., Acid Degradable Cross-Linked Micelles for the Delivery of Cisplatin: A Comparison with Non-degradable Cross-Linker. Chem. Mat. 2012, 24 (16), 3197-3211.

    3. Scarano, W.; Duong, H. T. T.; Lu, H. X.; De Souza, P. L.; Stenzel, M. H., Folate Conjugation to Polymeric Micelles via Boronic Acid Ester to Deliver Platinum Drugs to Ovarian Cancer Cell Lines. Biomacromolecules 2013, 14 (4), 962-975.

    4. Pearson, S.; Scarano, W.; Stenzel, M. H., Micelles based on gold-glycopolymer complexes as new chemotherapy drug delivery agents. Chem. Commun. 2012, 48 (39), 4695-4697.

    5. Blunden, B.; Lu, H.; Stenzel, M. H. Enhanced Delivery of the Ruthenium Drug RAPTA-C as Macromolecular Chemotherapeutics by Conjugation to Degradable Polymeric Micelles, Biomacromolecules 2013, accepted

  • Collaborator Dr Xiao

    The treatment of pancreatic cancer still remains a challenge. Not only is it a devastating disease, but compared to other cell lines pancreatic cancer lines are more resistant to uptaking drugs and nanoparticles. And so, pancreatic cancer cell lines represent an interesting model system to help us understanding how different surface chemistries and particle sizes can affect interaction with cells.

    Gemcitabine is the most commonly used drug for inoperable pancreatic cancer. Gemcitabine resembles a nucleoside and is built in during DNA replication. One solution offered to improve its delivery is via the use of nanoparticles. Most commonly investigated are liposomes or similar self-assembled structures. Although these liposomes vary in particle size and surface chemistry, they all in common significantly lead to increased accumulation of the drug in the pancreatic tumor in common. Although initial results are promising, the range of data so far is limited. Particle sizes vary to a large extent and the drug delivery approaches are so different that overall conclusions regarding an optimized carrier cannot yet be drawn.

    In our lab, we are interested in understanding the interplay between the types of nanoparticles and their effects on pancreatic cancer cells. One focal point is the investigation of different pathways to bind gemcitabine to the polymer environment. Therefore libraries of functional polymers are prepared via RAFT polymerization that are either reactive towards the drug or enable the physical interaction. As a result, nanoparticles with different functionalities, sizes and shapes can be created. The nature of these nanoparticles will directly influence how cells take them up and how they move within our 3D-speheroid model that was built from pancreatic tumor cells.

    To understand the relationship between the particle’s properties and their cell interaction often requires long-term studies using fluorescent microscopy techniques. Polymer nanoparticles labelled with a fluorescent dye often lack long-term stability. Quenching of fluorescence can occur in less than an hour making it impossible to gather meaningful results over a long period of time. Nanodiamonds with their non-bleaching fluorescence can address this problem. They are increasingly used as drug delivery carriers with the drug absorbed onto them. We investigate how nanodiamonds can be modified with polymers on their surface. The resulting nanodiamonds are superior to other nanoparticles allowing imaging and delivery of therapeutics simultaneously.

    Light microscope (left) and fluorescent microscope (right) images of tumour cells after being incubated with nanodiamonds coated with polymers.
    References

    1. Huynh, V. T.; Pearson, S.; Noy, J. M.; Abboud, A.; Utama, R. H.; Lu, H. X.; Stenzel, M. H., Nanodiamonds with Surface Grafted Polymer Chains as Vehicles for Cell Imaging and Cisplatin Delivery: Enhancement of Cell Toxicity by POEGMEMA Coating. Acs Macro Letters 2013, 2 (3), 246-250.

  • Abraxane©, is an injectable formulation of paclitaxel where the drug is bound to albumin as a delivery vehicle (nab technology). This is one of the few nano-formulations that has made it to the market today. The success of this technology, as developed by Desai and co-workers, lies within the simplicity while also being highly effective during treatment of cancer. Albumin belongs to a family of water soluble proteins comprising three homologous domains which assemble to form a heart shaped molecule. Serum albumin is the most abundant protein in blood plasma and specific types include human serum albumin and bovine serum albumin. Human serum albumin is a relatively small protein which is produced in the liver and occurs in the bloodstream with a concentration of about 50 mg/mL. These characteristics including its high concentration throughout the body have led to its use as a very safe, highly immunogenic protein for the transport of toxic drugs through the bloodstream. Processing many albumin molecules into nanoparticles represents a quantum leap in performance since additional accumulation of the drug in the tumour site was caused by the enhanced permeation retention (EPR) effect. This is the origin of the success of Abraxane©. The albumin technology has so far been tested on a range of drugs and has been reviewed in detail elsewhere. However, the driving force of nanoparticle formation is the presence of hydrophobic drug molecules which act like glue holding the albumin molecules in place. More hydrophilic drug molecules and charged drugs like nucleic acids are therefore not suitable for this technique.

    In order to modify albumin without affecting its bioactivity, one method is to only modify one amino acid as it has been done in the past 40 years. Conjugation of hydrophobic polymer chains is a less explored pathway resulting in biohybrid amphiphiles with a hydrophilic protein head group conjugated to a hydrophobic polymer tail which self-assembles to form micelles in water. Certain polymerisation techniques have been used to synthesise spherical protein-polymer micelle aggregates as small as 30-70 nm. In addition, they can be formed in-situ during the polymerization of the hydrophobic monomer. The synthesis of a well-defined biohybrid amphiphile requires precise control over both the protein/polymer ratio and the site at which the protein is modified. Finally, it is important to preserve the original activity of the protein, and this site-specific anchoring of polymer to the surface of the protein can be realized by methods such as covalent coupling or non-covalent binding to a single reactive surface moiety.

    In our lab, we have developed a range of protein-based carriers that are hybrids between synthetic polymers and proteins. These drug carriers are tailored to be suitable as a vehicle for any kind of drugs including traditional hydrophobic drugs, DNA, and metal-based drugs.

    Design of albumin coated micelles for the delivery of various drugs
  • Carbohydrates have become a hot topic for research within the scientific community. This is due to the myriad number of biological communication events, including: cellular recognition, inflammation, signal transmission and infection by pathogens displayed by them. In the treatment of diseases such as cancer, cytotoxic chemotherapy or radiotherapy can be life threatening as the therapeutics used are normally not site-specific. To improve the distribution of drugs in a biological system, the use of a ligand (e.g. carbohydrate and peptide targeted therapeutics for the recognition of malignant cells), could be an important step towards the improved treatment of cancer and other diseases.

    Moreover, many studies have shown that lectins on cell surfaces mediate cell-cell interactions by combining with complementary carbohydrates; in other words, the incorporation of ligands such as carbohydrates or other targeting moieties could result in increased cellular uptake via receptor-endocytosis.

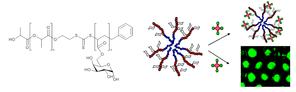
    Synthesis of glycopolymers has been one of our core activities over the last few years. The polymers are prepared either by direct RAFT polymerization of glycomonomers or by post-functionalization of active polymers. The polymer may have either have linear architectures, star-like structures or might even self-assemble into micelles. The type of polymer structure was found to influence binding with lectins. For example, a micelle with the sugars bound to the surface by dendrimers was observed to be more efficient than a traditional glycopolymer micelle.

    Our work has two aspects: theoretical understanding of the relationship between glycopolymer architecture and the rate of lectin binding, and also the practical use of glycopolymers to deliver vaccines or to treat cancer. Nanoparticles coated with sugars have a preference to enter only specific tumour cells, while others remained almost unaffected.

    Example of a glyco block copolymer and schematic representation of PNA lectins binding with galactosylated micelles and porous films
    References

    1. Ting, S. R. S.; Gregory, A. M.; Stenzel, M. H., Polygalactose Containing Nanocages: The RAFT Process for the Synthesis of Hollow Sugar Balls. Biomacromolecules 2009, 10, 342-352.

    2. Ting, S. R. S.; Chen, G. J.; Stenzel, M. H., Synthesis of glycopolymers and their multivalent recognitions with lectins. Polymer Chemistry 2010, 1, 1392-1412. (review article)

    3. Chen, G. J.; Amajjahe, S.; Stenzel, M. H., Synthesis of thiol-linked neoglycopolymers and thermo-responsive glycomicelles as potential drug carrier. Chemical Communications 2009, 1198-1200.

    4. Chen, Y.; Chen, G. J.; Stenzel, M. H., Synthesis and Lectin Recognition of Glyco Star Polymers Prepared by "Clicking" Thiocarbohydrates onto a Reactive Scaffold. Macromolecules 2010, 43, 8109-8114.

    5. Kumar, J.; Bousquet, A.; Stenzel, M. H., Thiol-alkyne Chemistry for the Preparation of Micelles with Glycopolymer Corona: Dendritic Surfaces versus Linear Glycopolymer in Their Ability to Bind to Lectins. Macromolecular Rapid Communications 2011, 32, 1620-1626.

  • Collaborators: Prof David Morris, Dr Mohammad Pourgholami (St.George), Kieran Scott (Ingham Institute)

    Protein and peptide drugs are increasingly common in modern medical care. Examples are Enbrel and Remicade (arthritis and psoriasis), Neulasta (promotes white blood cell production) and Epogen (stimulates red blood cell production). The rise in protein drugs compared to more traditional low molecular weight drugs stem from their increased selectiveness and therefore increased effectiveness. Targeted therapies using proteins are particularly attractive in cancer therapy where chemo- and radio therapy are known to be potentially very harmful to healthy cells. Targeted cancer therapies using proteins act by interfering with cell pathways that are specific to tumour growth. Many therapies focus on proteins that are involved in cell signalling pathways. The signalling pathway in cells is carefully orchestrated by a cascade of event. Each step can be up- or down regulated and can therefore determine the fate of the cell. The literature is filled with examples of proteins and peptides that may act as drugs and it can be expected that in the coming years more and more protein drugs will take on a key role in the treatment of diseases, not only in cancer treatment.

    The main barrier in delivery proteins for therapeutic purposes stem from their intrinsic properties such as their large size, their surface charge and most of all their hydrolytic instability. When administered, most proteins are prone to quick degradation. Also low cellular uptake can present a major obstacle. Depending on the surface charge of the protein, repulsive forces may prevent cellular uptake. To combat these shortcomings, a range of techniques have been developed, which include the formation of polymer-protein conjugates or the encapsulation of proteins into polymer nanoparticles. The mode of interaction between protein and polymer can be either by the formation of a covalent bond, electrostatic forces or by simple van der Waals forces among others.

    In our lab, we investigate solutions depending on the type of protein and peptide we want to deliver. In the centre is the often hydrolytic unstable drug, which also can only be isolated or synthesized at high costs. It is therefore important to identify suitable polymers and conjugation chemistries that are efficient and can encapsulate the peptide or protein drug in an effective way. The main focus is on the question of how the nature of the underlying polymer affects the performance of the drug. We therefore synthesize libraries of polymers that can either interact with the protein via electrostatic forces or bind the peptide to help us understand what makes a good carrier. 

    Delivery of proteins using polyion complex micelles
  • Collaborator: Prof Per B. Zetterlund

    Polymeric nanoparticles (normal diameter range 50 – 500 nm) find a number of biomedical applications, e.g. drug delivery.  Hollow nanoparticles (nanocapsules) with an aqueous (hydrophilic) interior are particularly attractive for the delivery of water soluble drugs such as proteins or vaccines.  The nanocapsules protect the drugs from decomposition, and the drugs are released only when the nanocapsules break down.

    One of the most common methods for preparation of polymeric nanoparticles is polymerization in a dispersed (heterogeneous) system.  In the simplest of terms, this means that polymerization occurs in monomer/polymer particles that are dispersed in water with the aid of surfactants.  There are various such techniques available, each associated with specific advantages and disadvantages.

    A relatively new approach towards nanoparticle synthesis is the so called “miniemulsion periphery polymerization” method, which entails (i) creation of a miniemulsion (organic phase dispersed in water), and subsequently (ii) polymerization in the aqueous phase using a macroinitiator confined to the oil-water interphase, thus generating a “shell” with a liquid organic interior.  The technique has potential as offering superior control over final particle size, which is an important consideration in drug-delivery applications.

    This project is concerned with “inverse” miniemulsion periphery polymerization for the preparation of hollow polymeric nanoparticles for drug delivery. The term “inverse” meants that the continuous phase is organic (hydrophobic) and the dispersed phase is hydrophilic (e.g. water). The drug will be present in the dispersed phase, and polymerization is subsequently carried out around the periphery of this dispersed phase, thus generating a hollow particle by formation of a shell around the dispersed phase. Reversible addition-fragmentation chain transfer (RAFT) polymerization is employed to prepare shells of controlled microstructure.

    This approach has been tested for the encapsulation of proteins. The protein was located in the water pool in the centre of the hollow sphere. In this environment, the protein is protected from degradation, but it is also positioned in an aqueous environment that helps maintain its crucial three-dimensional shape.

    TEM images of hollow nanoparticles (left and middle) synthesized via inverse miniemulsion periphery polymerization (RAFT) of MMA and EGDMA. Right: TEM of hollow spheres with protein located in the coreence-Chemistry-Hollow-nanoparticals
    References

    1. Synthesis of Hollow Polymeric Nanoparticles for Protein Delivery via Inverse Miniemulsion Periphery RAFT Polymerization, R. H. Utama, Y. Guo, P. B. Zetterlund and M. H. Stenzel, Chem. Commun., 2012, 48, 11103–11105.

    2. Inverse Miniemulsion Periphery RAFT Polymerization: A Convenient Route to Hollow Polymeric Nanoparticles with an Aqueous Core, R. H. Utama, M. H. Stenzel, P. B. Zetterlund, Macromolecules 2013, 46, 2118−2127.