Outfalls

Personalise
Water Research Laboratory - project Hydrodynamics

WRL is an industry leader in the engineering and science of marine and riverine outfalls. Over the past 20 years WRL has been involved in numerous studies covering all aspects of outfalls including hydraulics, dilution, commissioning and field studies. WRL offers complete services to assess outfalls from concept to commissioning. WRL has extensive expertise in outfall hydraulics, including numerical assessment and physical model testing. 

    In addition to physical and numerical modelling, WRL has significant experience in field based assessments. WRL has the expertise and equipment to assess a site potential for process understanding and development, as well as existing sites for outfall performance and commissioning. WRL has designed and implemented several large field sampling programs for outfalls at a range of locations.

    • Near-field modelling of ocean outfalls concerns the receiving waters immediately surrounding the outfall, extending to the point where the mixture of seawater and effluent reaches its natural level of buoyancy. WRL has extensive experience in near-field numerical modelling of ocean outfalls. Discharge velocity; and angle and ambient receiving water currents dominate dilution in this zone.

      Near-field numerical modelling is undertaken with VISJET, JETLAG, CorJet, PlumeL2 and CORMIX modelling suites. These models calculate plume characteristics, including dilution achieved from diffusers in the near-field zone. Where field measurements have been made, these are used to calibrate the models.

      Project example: Burwood Beach ocean outfall

      After a data collection program was undertaken, two near-field numerical models were developed for the Burwood Beach ocean outfall, using the JETLAG modelling program. The aim of this study was to characterise the behaviour of pollutants discharged from the site. Inputs to JETLAG consist of parameters describing the outfall characteristics, the effluent characteristics and the receiving water characteristics. Model outputs include the effluent dilution, the plume trap depth and plume radius.

      Numerical model results were compared to field data to verify the validity of the modelling. As it was demonstrated to well represent the discharge plume during the observed period, it was considered appropriate to use for modelling the plume behaviour under different discharge conditions. A steady state near-field CorJet model was also used to verify the near-field results, and differences between the two models were shown to be within the accuracy of the models. 

    • Far-field modelling examines the impact of an outfall in the region beyond the near field zone, until key indicators are no longer detectable against background concentrations. In the far-field region ocean currents and physical processes such as wave action usually dominate mixing. WRL assesses three-dimensional far-field hydrodynamics using the RMA suite of models. Water quality modelling is subsequently undertaken either using RMA or with a random walk model, 3DRWALK, both of which can be coupled with the hydrodynamic modelling. The modelling is aimed at simulating pollutant transport in the wider model domain, and is typically used to produce regional contour plots of the pollutant concentration under different effluent and receiving water conditions.

      Project example: Penguin Head outfall modelling

      WRL established a set of numerical models to simulate discharge plume behaviour off Penguin Head near the Beecroft Peninsula. Modelling included near-field numerical modelling and far-field hydrodynamic and water quality modelling. 

      Hydrodynamic modelling was primarily undertaken with a depth averaged mesh, using RMA 10. Limited three-dimensional simulations were also undertaken to show the impact of winds on near-surface currents (and therefore transport of surface plumes). The model was calibrated against current data recorded by a moored ADCP near the site and later verified against ADCP transects collected near the sites of interest. 

      A 3DRWALK model was developed using the depth average hydrodynamic modelling. The modelling used a conservative tracer to estimate dilution at target sites in the model. A spatial contour plot of dilution was also outputted for each of the model runs. Using this technique, WRL was able to model several different discharge scenarios, including shore based and off shore releases of different magnitudes. 

    • Authorities around the world that have conducted or commissioned dye experiments include US EPA, UNESCO, WHO, NSW EPA, and NIWA (NZ). WRL has conducted or been associated with a large number of such experiments. The methodology varies, but always has the following common ingredients: Dye is released into the water by some method, the water containing the dye is sampled, and the concentration measured. The results are interpreted to yield mixing parameters or dilution values. 

      The method of release includes injection into an existing outfall, dumping a fixed quantity from a boat or shore instantaneously, and continuous pumping from a container on a boat. For coastal experiments the concentration of dye released is quite high. The reason for this is due to the variation in current direction and uncertainty of where the dye will go. In this case, the dye needs to be highly visible so that it can be tracked from boat, shore, or the air. Even when using these high doses of tracer, the dye dissipates and is no longer visible within hours of the initial experiment. 

      Previous dye tracer studies
      • Jervis Bay/St Georges Basin ocean outfalls
      • Coffs Harbour outfall studies
      • Sydney deepwater outfalls monitoring
      • Urmston Rd outfall, Hong Kong
      • Sui Ho Wan outfall, Hong Kong
      • Burwood Beach outfall testing
      • Mumbai outfall, India
      • Illawarra outfall testing
      • Shellharbour outfall testing
      • Burwood Beach outfall testing
      • Brooklyn/Hawkesbury River 
      Project example: Illawarra outfall

      Throughout 2006-2007, WRL undertook a range of field studies to determine near-field dilution for Sydney Water Corp at the Illawarra outfall. These studies were undertaken over various climatic periods to simulate the range of conditions that would be experienced on site. Various near-field tests were successfully undertaken and included the use of a dive team for visual inspection.

      The field trials were undertaken by injecting the tracer under controlled conditions at the STP for a period of 4-6 hours. Based on predetermined calculations, the known concentration of Rhodamine WT was then diluted in the near-field. The extent of the dilutions was mapped using a fluorimeter attached to a Seabird 19Plus, a differential GPS and a range of sampling equipment such as niskin bottles suspended at various depths. An ADCP and several drogues were used to determine ambient currents, while the Seabird 19Plus was also used to map salinity and temperature profiles. 

      Sampling was undertaken in both anchored positions and by following a series of transects. The field results provided a wealth of information to map the plume performance and determine the performance of the outfall under a range of conditions. Importantly, the field program required in-depth OH&S and stringent QA protocols that ensured the data quality of many field instruments.
       

    • WRL has over 60 years of experience undertaking physical modeling of hydraulic engineering problems. With one of the largest and most active hydraulics laboratories in Australasia, our major facilities allow for scale models to be constructed, tested and used in optimising the design of large and small infrastructure. 

      WRL has four dedicated laboratories, with a floor space of over 2,500 m2, and can routinely pump to flow rates of 350L/s using the water directly available from Manly Dam. In the last 20 years, WRL has built numerous custom models concerning ocean outfalls, including hydraulic optimisation of diffuser heads and near-field dilution modelling. 

      Project example: Victorian desalination plant

      WRL physically modelled diffuser arrangements to refine the design for the Victorian Desalination Plant. A non-dimensional analysis technique was used, where by parameters are organised into dimensionless forms, allowing for similarities between scale models and prototypes. For near-field modelling, correct scaling of momentum and density effects is achieved by ensuring the dimensionless denismetric Froude number in the model is the same as in prototype. A model scale of 1:50 was chosen to ensure fully turbulent flow in the diffuser. 

      The model was custom built at WRL in a 4.5 m x 4.5 m x 0.75 m glass tank representing the receiving water. A 0.7 m x 0.7 m x 0.65 m brine tank was built alongside the receiving waters tank. Brine was delivered to the receiving water via dual 25 mm PVC pipes through a gravity driven system, and discharged through the risers into the main tank. 

      Several riser configurations were tested, including varying the number of risers discharging brine, the angle of the riser nozzle and the use of multiple adjacent diffusers. Electrical conductivity was measured at 12 monitoring points in the receiving waters tanks using Microelectrodes mi-900 series conductivity electrodes, recording at 500 Hz. This allowed in the dilution at different distances from the diffuser to be assessed for each of the riser configurations. Dye was also added to the brine to aid in visualisation of the dilution. 

      Results were compared against environmental requirements (achieving a minimum dilution within 100 m for the diffuser head and minimising sea discolouration) to confirm the potential riser configurations can be expected to meet these criteria. By testing multiple designs, WRL was able to provide advice on the performance of each configuration relative to the others. Physical modelling of the near-field zone gives an accurate representation of the expected dilution that can be anticipated at an ocean outfall, in detail and with complexities that are not achievable in a numerical model.

    • WRL was commissioned to undertake a data collection program and extensive water quality modelling for two outfalls on the south island of New Zealand, at Christchurch and Waimakariri. Both of outfalls discharge in to Pegasus Bay. Data collection programs were completed between 2002 and 2004 (a 4 month program at Waimakariri and a 12 month collection program at Christchurch). Oceanographic data collected included: continuous monitoring of currents near the outfall site; offshore current profiling; and offshore temperature and salinity profiling. The data set was supplemented with wind measurements taken at Christchurch Airport. 

      Three numerical models were used in combination to predict the behaviour of treated wastewater discharged from these outfalls into the sea. The model JETLAG was used to predict the behaviour of the near-field buoyant jet. This model is used to predict initial dilutions achieved by the outfall diffusers as the effluent is discharged to the ocean. The model RMA-10 was used to predict the three-dimensional behaviour of the ocean currents resulting from tides, winds, river flows and larger scale ocean currents in the area. Finally, the model 3DRWALK was used to predict the fate and concentration of the outfall plumes once they are introduced to the ocean (JETLAG) and then transported by the ocean currents (RMA10). 

      Plumes were modelled with three constituents: an arbitrary conservative constituent that does not decay with time, faecal coliforms and coliphages (to simulate viruses). The impacts of these plumes were presented as statistics of impact at certain key sites. The model results were interpreted as the percentile impacts at various target sites. This enables the predicted concentration of other contaminants to be scaled according to their starting concentrations. 

      Field commissioning tests at Christchurch - diffuser trials: WRL has had continued involvement at the Christchurch outfall, including field tests confirming the modelled performance of the outfall. Field dilution tests were undertaken to measure the rates of mixing of effluent into seawater by injecting Rhodamine WT fluorescent dye into the effluent and measuring the concentrations in the field using a fluorometer. Dive inspections were also carried out. The measurements demonstrated that the outfall is operating as designed and achieving excellent dilutions with the ocean. These measurements also provide one of the most extensive datasets on an actual outfall performance gathered anywhere in the world. 

       

    • WRL has had extensive involvement in the modelling and field testing of the Sydney Desalination Plant outfall, including hydraulic testing and optimisation of the diffuser head configurations, physical modelling of diffusion of brine into marine waters; and field dye tracer test to validate the performance of the outfall. 

      Hydraulic testing: Hydraulic testing of the riser caps was conducted in a 1:9.52 scale physical model, in a custom made model in WRL’s laboratory. These tests allow the determination of flow characteristics and behaviour and overall hydraulic head loss, important to assessing the dilution achieved from the diffuser. 

      Near-field physical modelling: WRL also conducted extensive physical modelling of the near-field dilution achieved by a number of configurations of the diffuser heads. Unlike typical wastewater plumes, seawater concentrate plumes are denser than the receiving seawater. The seawater concentrate generally does not rise to the surface, unlike a buoyant wastewater plume, where greater natural mixing processes (eg surface winds and waves) assist in the dilution process. It is therefore essential to optimise near-field dilution and not rely on far-field dilutions, as these may be relatively low. WRL tested a number of configurations initially confirming that the design met the environmental targets in the near-field zone. 

      As planning for the plant progressed, it became necessary to change the design of the diffuser head, such that two adjacent risers were required to discharge the brine. Further testing in WRL’s physical model showed that the original riser design would no longer meet the design criteria, due to the interaction of the plumes from adjacent risers. WRL undertook subsequent tests to optimise a new riser design to meet environmental targets, by changing the riser configuration and discharge velocity and angle. 

      Field dilution testing: In 2010 and 2011, after the construction of the Sydney Desalination Plant, WRL conducted field studies to validate the physical scale modelling. A methodology of using dye tracing (Rhodamine WT) was adopted by WRL because of its widely accepted use and ease of measurement at low concentrations. 

      Concentrations Were measured using a fluorimeter mounted to a roving surface vehicle and to drivers. Dye tests initially identified leakages in the systems that were preventing it from obtaining the modelled dilutions. 

      Further testing after the system was modified showed the current (which was not considered in the physical model) had a strong influence on the position of the plume. Dilutions in the ocean were always slightly greater than those predicted by the model, showing the model was conservative. 
       

    • This project involved detailed three-dimensional hydrodynamic and water quality modelling of the Western Waters of Hong Kong. The RMA-10 and RMA-11 models were calibrated against field data and subsequently used to simulate long-term impacts of sewage disposal options. 

      A bottom mounted ADCP acting as an Ocean Reference Station (ORS) provided twelve months of continuous current, temperature and salinity data at a location within the western waters. During eight field data collection exercises, further data was collected including ADCP transects, temperature, salinity, DO and sediments at various locations throughout the study region. A further understanding of the regional processes including flows from the Pearl River, ocean stream currents, tidal phasings and density structures was gained by a literature review and the analysis of previously gathered data. 

      Eight individual calibration reports were supplied, each documenting the model behaviour against the collected data. Subsequent to the last calibration exercise it was deemed that the model was able to reproduce the conditions of both the dry season and the stratified wet season. This complex model was able to reproduce the observed high degree of stratification, strong currents and complex water quality of the Western Waters. 

      Water quality parameters simulated included:

      • Dissolved oxygen and biological oxygen demand
      • Organic nitrogen, ammonia, nitrate and nitrite
      • Organic phosphorous and phosphate
      • Chlorophyll-a and e-coli 

      Model tests investigated the change in impacts at sensitive receivers through varying the quality of discharge from Pillar Point and Urmston Road outfalls during one month of the dry season and one month of wet season. A future population case was adopted and all discharges from other outfalls, streams, nullahs and drains were fixed to appropriate values.

      Continued monitoring programs were also developed, aiming to assess:

      • The attainment of water quality objectives for the North Western
      • Waters control zone
      • The micro biological impacts on beaches in the area
      • The impact of the outfall on the marine environment and sensitive receivers as distinct from other anthropogenic sources
      • The deposition of sewage solids and associated
      • Whether actual outfall performance meets the predictions of the
      • Environmental Assessment Report
      • The flows and loads of the sewage effluent 
    • Sydney Water currently employs three major sewage treatment plants to treat a large portion of Sydney’s sewage waste. The North Head, Bondi and Malabar deepwater outfalls are located approximately 3 to 5 km’s off the coast in between 40 and 60 m depth of water. A data collection ocean reference station provides current, temperature, salinity and pressure data. Previously, this data was collected using thermister strings, pressure transducers, salinity probes and current meters suspended beneath a buoy. 

      This system was updated in 2005 to consist of a bed mounted ADCP with thermisters, pressure transducers and salinity probes extending through the water column from the bed to 7 m below MSL. The data collection targeted the physical processes observed in the Sydney region that were to effect plume movement. 

      For example, in this region stratification due to temperature in the warmer seasons increases up to about 0.1 °C m-t and is virtually nil in the winter months. Variations in stratification of salinity, however, are generally small. Effluent data is obtained from the relevant treatment plant. 

      A three dimensional modelling suite was established specifically for modelling around the Sydney outfalls, including three discrete components: a near-field model (PLUMEL2), a 3D hydrodynamic far-field model (RMA10) and a far-field water quality model (3DRWALK). The monitored data is input into these models to predict plume behaviour. WRL provides numerical modelling of the outfall plumes in 3D and supplies the results to Sydney Water via the internet. 

      The Sydney Deepwater Outfall modelling suite describes the transport and dispersion of outfall plumes, and the behaviour of floatable and settleable materials discharged from the outfall. The results inform on pollutant source identification, stratified hydrodynamics, harbour and estuarine impacts and beach water quality. As the data program was designed specifically for this modelling, results can be similarly tailored. 

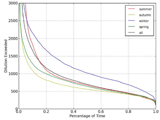
      For example, the probability of dilution exceedance is assessed over a full year, and also broken into seasonal categories. Due to the decreased temperature stratification in winter, dilution tends to increase at the Sydney outfall locations.